
软件大小:3.2M
软件授权:共享软件
软件语言:简体中文
阅读次数:
软件等级:
软件类型:国产软件
更新时间:2025-01-19
应用平台:xp/win7/win10/win11
|
为您推荐:文档
软件介绍小熊工具箱是ENVI扩展插件,由中科院对地观测中心在读博士胡勇将自己写的IDL代码整理而成,包含许多实用功能:相对辐射归一化、矩匹配相对辐射校正、趋势分析、*大值合成、MODIS质量数据转换、批量矢量裁剪、MRT批处理、TVDI、ROI分离器、批量生成缩略图、批量生成影像范围(shp)。
安装方法 这个扩展工具适用于ENVI 4.8版本及以上版本。 第一步:将rihor_Little_Bear_Tools.sav放在以下指定路径下即可。 ØENVI 4.8 Windows: C:Program FilesITTIDLIDL80productsenvi48save_add ØENVI5.0 Windows:C:Program FilesExelisENVI50classicsave_add 第二步:将provmeans.dll和provmeans.dlm放到idl的binin.x86下,例如:C:Program FilesITTIDLIDL80inin.x86 重新启动ENVI+IDL,菜单会自动添加。 安装好工具后,通过以下方式找到相应功能菜单: 启动ENVI 4.8或者ENVI5.0 Classic后,即可看见小熊工具箱菜单如图1
功能介绍 1.相对辐射归一化 利用参考影像和待校正影像中对应像元的光谱相关性,提取没有发生变化的地物点,建立回归方程,然后对待校正影像进行校正,使两影像中相同地物具有相同,或相近的值,输入影像可以是DN值、RAD和TOA反射率。处理结果可用于多时相的变化监测,以及相邻影像镶嵌前的辐射配准(ROI选重叠区域)等。 2.矩匹配相对辐射校正 对于面阵推扫式传感器,由于仪器光谱响应函数、成像条件、大气斜程吸收和辐射、地物二向反射特性等因素的影响,高光谱图象上会出现条带现象和“smile”现象,因此需要进行相对辐射校正。 3.趋势分析 逐像元分析时间序列数据随时间的变化,如NDVI年均值的变化趋势,得到斜率和截距 4.*大值合成(MVC) 得到多波段数据(时间序列数据)中的*大值。 5.MODIS质量数据转换 MODIS数据的质量评估数据(Quality Assessment -QA),都是以不同的bit来表示不同的信息,因此,要利用QA数据进行掩膜,需根据数据说明文档,提取相应的bit来生成掩膜图像。 6.批量矢量裁剪 利用evf文件,批量裁剪带坐标的栅格图像。 7.MRT批处理 用于批处理相同tile(H和V相同)的MODIS时间序列产品,需要安装MRT。 8.TVDI 近年来,有研究人员分析了遥感传感器得到的地表温度(LST)和植被指数,认为它们的散点图构成的空间关系为三角形关系,并利用土壤——植被——大气传输模型(SVAI)进行了比较验证。实验观测要求研究区域必须足够大,涵盖的地表覆盖信息应该从裸土一直变化到植被完全覆盖,上壤湿度从干旱变化到湿润。图中的A、B、C三个点代表了LST-NDVI特征空间中的三种极端情况,分别表示干燥裸土(NDVI小,LST高)、湿润土(NDVI和LST都*小)和湿润且完全植被覆盖的地表(NDVI大,LST高)。在裸土区,地表温度与土壤含水量的变化高度相关。由A至B,地表的土壤水分蒸发逐渐增大。随着地表植被覆盖度的增加,地表温度开始下降。C点表示植被完全覆盖,土壤湿度含量充足,这时没有水分胁迫。图2中AC边表示上壤水分的有效性很低,地表蒸散小,处于干旱状态,被认为是“干边”;BC表示土壤水分充足,不是植物生长的限制因素,此时地表蒸散等于潜在蒸散,被认为是“湿边”。
图2 NDVI-LST关系 对LST-NDVI特征空间进行简化,研究人员提出了温度植被旱情指数(Temperature Vegetation Dryness Index,TVDI)的概念,其计算公式如图3:
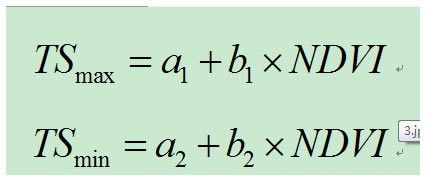
图3 式中 为*小地表温度,对应的是湿边;TS为任意像元的地表温度, 为某一NDVI对应的*大地表温度,即干边。
图4 其中 、 和 、 分别是干边和湿边拟合方程的系数。干边对应TVDI值为1,湿边为0,计算得到任一点TVDI值介于0和1之间,TVDI值越大,对应的土壤水分越低;TVDI值越小,对应的土壤水分越高。
图5 LST-NDVI特征空间 本程序的功能为根据输入的植被指数图像、地表温度图像,以及对应的掩膜图像,按照上述算法计算TVDI。 9.ROI分离器 利用样本数据(ROI)进行建模分析、或是分类时,经常需要将样本数据分成两份,其中一部分用于分类(或是建模),另外一部分用于结果验证。ROI分类器的功能为按指定的比例,将所选的ROI随机分成两部分。图6为利用ROI分离器,将原ROI(绿色边框)按50%,50%分离成两个ROI。
图6 50%分离成两个ROI 10.批量生成缩略图 对于大批量的遥感数据,常常需要生成JPG格式的缩略图,便于查看数据的质量、以及是否有云等。本程序是将一个文件夹下指定格式的图像,利用设置的波段批量生成JPG图片。 11.批量生成影像范围(shp) 对于大批量带地理坐标的遥感影像,如果在ENVI中查看每景影像的覆盖范围,是十分费力的事。本程序的功能是批量将遥感影像的覆盖范围,生成矢量图(shp),方便查看数据覆盖范围。图7为根据某航空影像,生成的shp范围。
图7生成的shp范围 |
粉笔办公Excel智能插件电脑端官方正版2024最新版绿色免费下载安装
为您推荐:办公软件介绍粉笔办公是由粉笔网推出的一款excel办公智能插件,功能全面而强大,可以批量
软件介绍ShapeUp是一款自定义生成图形层动画的AE脚本,能够自定义图层的类型位置及大小属性,支
Trapcode 3D Stroke官方正版2024最新版绿色免费下载安装
软件介绍3D Stroke插件是一款AE描边插件,3D Stroke插件具有渲染引擎的更新作用,还
Halftone电脑端官方正版2024最新版绿色免费下载安装
为您推荐:设计软件介绍Halftone是一款非常优秀的AE半色调效果插件,能够为用户提供十分完美的